Cos’è il Decibel (dB): guida semplice per capire amplificazione e attenuazione dei segnali
Scopri cos’è il decibel (dB), come funziona la scala logaritmica e perché è fondamentale in elettronica, audio e telecomunicazioni.
Cos’è il decibel (dB)
Il decibel (dB) è una unità di misura logaritmica utilizzata per esprimere il rapporto tra due grandezze, come ad esempio intensità, potenza o tensione di un segnale.
In elettronica e telecomunicazioni si usa continuamente per rispondere a domande come:
- quanti decibel amplifica un segnale
- di quanto un sistema attenua un segnale
La definizione generale è:

Questo significa che il decibel non è un valore assoluto, ma sempre un confronto tra due quantità.

Perché si usano i decibel
Potresti chiederti: perché non usare semplicemente volt, ampere o watt?
La risposta è semplice: i decibel offrono vantaggi enormi.
1. Semplificano i calcoli
Grazie ai logaritmi:
- moltiplicazioni → diventano somme
Questo è fondamentale quando si analizzano più amplificatori in cascata.
2. Permettono di gestire grandi variazioni di segnale
I segnali reali possono variare enormemente:
- da valori piccolissimi
- a valori molto grandi
La scala logaritmica comprime questi valori, rendendoli più facili da rappresentare.

Decibel e orecchio umano
Uno dei motivi principali per cui utilizziamo i decibel è che l’orecchio umano percepisce i suoni in modo logaritmico.
Range tipico:
- 0 dB → soglia dell’udito
- 140 dB → soglia del dolore
Esempi:
- 30 dB → rumore di fondo
- 60 dB → conversazione
- 120 dB → concerto
Una scala lineare non riuscirebbe a rappresentare correttamente questo intervallo.

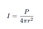
Come si attenua un segnale nello spazio
Quando un segnale (come il suono) si propaga, la sua intensità diminuisce con la distanza.
L’intensità è:

Questo significa che:
- raddoppiare la distanza → riduce l’intensità
- la perdita non è lineare ma molto rapida

Perché la scala logaritmica è fondamentale
Se usassimo una scala lineare:
- i segnali piccoli sarebbero invisibili
Con i decibel:
- possiamo vedere sia segnali deboli che forti nello stesso grafico
Questo è essenziale per:
- elettronica
- audio
- telecomunicazioni
- analisi dei segnali
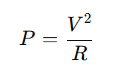
Guadagno in decibel negli amplificatori
In elettronica, il guadagno di tensione si calcola con:

Perché 20 e non 10?
Perché la potenza è proporzionale al quadrato della tensione:

Il quadrato porta il fattore 2 → quindi 20 log.

Amplificatori in cascata: il grande vantaggio
Uno dei motivi principali per cui i decibel sono usati in elettronica:
i guadagni si sommano
Esempio:
- Amplificatore 1 = 10 dB
- Amplificatore 2 = 15 dB
Totale:
- 25 dB
Senza decibel dovresti moltiplicare i guadagni → molto più complesso.

Regole pratiche sui decibel
Ecco alcune regole fondamentali da ricordare:
In tensione
- 0 dB → nessuna variazione
- +6 dB → segnale raddoppia
- +20 dB → segnale ×10
- -6 dB → segnale dimezzato
- -20 dB → segnale ×0,1
In potenza
+3 dB → potenza raddoppia

Conclusione
Il decibel è fondamentale perché:
- semplifica i calcoli
- comprime grandi variazioni di segnale
- rappresenta meglio la percezione umana
- rende più leggibili grafici e diagrammi (come i diagrammi di Bode)

Per questo è utilizzato in:
- elettronica
- audio
- telecomunicazioni
- radiofrequenza







